Some Basics of Credit Default Swap (CDS)
A Credit Default Swap is a credit derivative instrument that functions as a form of insurance, where one party pays a series of premiums to another party in exchange for protection against the risk of default by the issuer of the underlying debt.
Parties Involved:
- Protection Buyer – Owns the underlying debt instrument and pays a periodic premium to hedge against the risk of default on the underlying debt.
- Protection Seller – Receives the periodic fee and compensates the protection buyer if a credit event occurs.
- Reference Entity (passively involved) – The issuer of the underlying debt.
Credit Events:
Pre-defined events in the CDS contract, such as default, bankruptcy, and restructuring.
Lifecycle:
- CDS Initiation – The protection buyer and protection seller agree on the terms of the CDS, including the notional amount, CDS spread, maturity date, and other relevant details.
- Pricing – The upfront premium is calculated based on the standardised premium coupon and CDS spread. One of the parties makes the upfront premium payment.
- Periodic Payments – The protection buyer makes periodic premium payments based on the standardised premium coupon rate and the notional amount.
- Credit Event – If a credit event occurs, the protection seller compensates the protection buyer based on the difference between the notional amount and the recovery value of the debt.
- CDS Expiration – If no credit event occurs, the contract expires.
Pricing Credit Default Swaps
A CDS contract consists of two cash flow legs:
- Premium Leg – the periodic premium payments from the protection buyer to the protection seller.
- Protection Leg – a contingent payment that reflects the protection seller’s exposure to the credit risk carried by the CDS contract.
The pricing of a CDS involves determining the standardised premium coupon rate and the upfront premium to balance the present values of the premium leg and the protection leg.
The CDS market, in practice, uses a standardised coupon rate for the premium leg payments, typically either 1% (for investment-grade companies) or 5% (for high-yield companies). Obviously, the standardized coupon rate may not match the actual credit spread. Therefore, an upfront payment is required to balance the present values of each leg.
Therefore, the pricing of a CDS is to calculate the upfront premium based on the CDS terms, including:
- Data observed from market and the reference entity – risk free rate, credit spread, and recovery rate of the underlying debts.
- CDS contract terms – notional amount, CDS maturity, payment frequency, and the standardised coupon rate.
Here are the example inputs I used to code for this blog post.
I have created a value_cds function that takes these inputs and outputs the upfront premium, fair spread, premium leg NPV, and protection leg NPV. The main task for this blog post is to implement the value_cds function.
First, we create some utility functions for calculating some of the key measures used for quantify the credit risk.
Hazard Rate
hazard rate is the conditional probability of default, i.e., the probability that an event will occur given that it has not already occurred. The hazard rate can be derived from Credit Spread and Recovery Rate, i.e., Credit Spread divided by Loss Given Default (1 – Recovery Rate)
Survival Possibility
The survival possibility quantifies the likelihood that a reference entity will not default over a given time horizon, which can be calculated with the following formula where λt part represents the total risk of default over the time t and the the negative of that (- λt) represents the probability of survival decays over time.
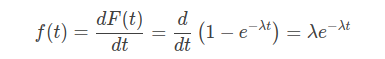
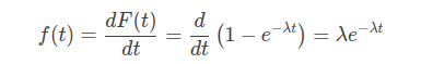
Default Possibility Density
The default probability density describes how the likelihood of default is distributed over time, which is calculated as the derivative of the cumulative default probability.
Protection Leg Calculation
The protection leg represents the present value of the expected payout by the protection seller in the event of a default. It can be calculated by integrating the expected loss over time, weighted by the probability of default and discounted to present value. The scipy.integrate.quad method is used here to help performing numerical integration of the integrand for the CDS contract period.
Premium Leg Calculation
Premium leg represents the present value of the periodic premium payments made by the protection buyer to the protection seller over the life of the CDS contract.
Upfront Premium
The premium leg value is calculated based on the specified the standarised coupon rate. We can calculate the upfront premium by comparing the present value of protection leg and the premium leg.
Fair Spread
We can also solve the implied fair credit spread by making the values of premium leg and protection leg equal.
Results
Full Code – Python
import numpy as np
from scipy.integrate import quad
from scipy.optimize import root_scalar
# Calculate hazard rate
def calculate_hazard_rate(cds_spread, recovery_rate):
return cds_spread / (1 - recovery_rate)
# Calculate survival probability at time t
def survival_probability(t, hazard_rate):
return np.exp(-hazard_rate * t)
# Calculate default probability density at time t
def default_probability_density(t, hazard_rate):
return hazard_rate * np.exp(-hazard_rate * t)
# Calculate discount factor at time t
def discount_factor(t, risk_free_rate):
return np.exp(-risk_free_rate * t)
# Function for valuing CDS contract
def value_cds(notional, maturity, payment_freq, cds_coupon_rate, risk_free_rate,
cds_spread, recovery_rate):
#Calculate hazard rate
hazard_rate = calculate_hazard_rate(cds_spread, recovery_rate)
# Calculate protection leg NPV using SciPy's quad function
def protection_leg_integrand(t):
return (default_probability_density(t, hazard_rate)
* (1 - recovery_rate)
* notional
* discount_factor(t, risk_free_rate)
)
protection_leg_NPV = quad(protection_leg_integrand, 0, maturity)[0]
# Calculate premium leg NPV
def premium_leg_NPV_func(spread):
premium_leg_NPV = 0.0
dt = 1 /payment_freq
for i in range(1, int(maturity * payment_freq) + 1):
t = i * dt
premium_leg_NPV += (survival_probability(t, hazard_rate)
* (spread * notional *dt)
* discount_factor(t, risk_free_rate)
)
return premium_leg_NPV
premium_leg_NPV = premium_leg_NPV_func(cds_coupon_rate)
# Calculate upfront premium of the CDS
upfront_premium = protection_leg_NPV - premium_leg_NPV
# Solve for Fair Spread
def calculate_legs_diff(spread):
return protection_leg_NPV - premium_leg_NPV_func(spread)
fair_spread = root_scalar(calculate_legs_diff, bracket=[0, 0.1]).root
return (premium_leg_NPV, protection_leg_NPV, upfront_premium, fair_spread)
# Observed data
risk_free_rate = 0.035
cds_spread = 0.01
recovery_rate = 0.40
# CDS contract terms
notional = 1000000
maturity = 5
payment_freq = 4
cds_coupon_rate = 0.01
# Valuing CDS contract
cds_values = value_cds(notional, maturity, payment_freq, cds_coupon_rate,
risk_free_rate, cds_spread, recovery_rate)
print("*******************************")
print(f"Premium Leg NPV: {round(cds_values[0], 2)}")
print(f"Protection Leg NPV: {round(cds_values[1], 2)}")
print(f"Upfront Premium: {round(cds_values[2], 2)}")
print(f"Fair Spread: {round(cds_values[3], 2)}")
print("*******************************")











