In the last blog post, we explored the Black-Scholes-Merton model and learned that it is the industry standard for pricing option contracts. However, the BSM model is designed for options on stocks and similar spot market assets, and it is not directly applicable for pricing futures options contracts, mainly due to the following differences between spot assets and futures assets:
- Underlying Asset: The stock option price is determined based on the spot price of the underlying asset, while the futures option price is based on the futures price of the underlying asset. The futures price is influenced by factors including not only the spot price but also carry costs, such as interest rates, storage costs, etc.
- Price Evolution: A spot stock price evolves according to a geometric Brownian motion, while the movement of a futures price is more complex, which takes into account carry costs.
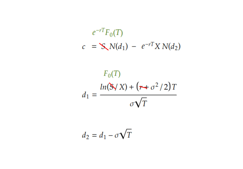
To address these differences in futures options pricing, one of the creators of the BSM model, Fischer Black, proposed the Black model. The Black model extends the BSM model to better reflect the features of futures options. It uses a very similar mathematical structure to the BSM model, and the formulas of both models look quite similar. However, the changes are significant enough to reflect the key differences between options on spot assets and options on futures. Here are the changes in the formulas, with the call options as example:
First, the spot price (S) is replaced by the futures contract price (F0). This aligns with the Black model’s assumption that the underlying asset for the option is a futures contract, rather than a stock.
Second, the futures contract price used in the formula to calculate its option price needs to be discounted to the present value at the current time because the option price calculated by this formula is the price at the current time. The spot price (S) used in the BSM model doesn’t need to be discounted because it is already the current price.
Third, in the formula for calculating d1, the term representing interest rate effects needs to be removed. As mentioned earlier, the futures price itself already incorporates the effect of interest rates through the carry costs.
Here is the Python code based on the Black model formula.
Full Code – Python
import numpy as np
from scipy.stats import norm
def value_futures_option_black(f0, k, T, r, sigma, option_type="call"):
# Calculate d1 and d2
d1 = (np.log(f0 / k) + 0.5 * sigma ** 2 * T) / (sigma * np.sqrt(T))
d2 = d1 - sigma * np.sqrt(T)
# calculate option value
if option_type == "call":
option_price = np.exp(-r * T) * (f0 * norm.cdf(d1) - k * norm.cdf(d2))
else:
option_price = np.exp(-r * T) * (k * norm.cdf(-d2) - f0 * norm.cdf(-d1))
return option_price
f0 = 1851.65
k = 1860
T = 0.25
r = 0.002
sigma = 0.15
call_price = value_futures_option_black(f0, k, T, r, sigma, option_type="call")
put_price = value_futures_option_black(f0, k, T, r, sigma, option_type="put")
print("Call Option on Futures Price: "+str(call_price))
print("Put Option on Futures Price: "+str(put_price))
Full Code – DolphinDB
def value_futures_option_black(f0, k, T, r, sigma, option_type="call"){
// Calculate d1 and d2
d1 = (log(f0 / k) + 0.5 * pow(sigma, 2) * T) / (sigma * sqrt(T))
d2 = d1 - sigma * sqrt(T)
// calculate option value
if (option_type == "call")
option_price = exp(-r * T) * (f0 * cdfNormal(0, 1, d1) - k * cdfNormal(0, 1, d2))
else
option_price = exp(-r * T) * (k * cdfNormal(0, 1, -d2) - f0 * cdfNormal(0, 1, -d1))
return option_price
}
f0 = 1851.65
k = 1860
T = 0.25
r = 0.002
sigma = 0.15
call_price = value_futures_option_black(f0, k, T, r, sigma, option_type="call")
put_price = value_futures_option_black(f0, k, T, r, sigma, option_type="put")
print("Call Option on Futures Price: "+call_price)
print("Put Option on Futures Price: "+put_price)

